Официальное опубликование правовых актов
ОФИЦИАЛЬНОЕ ОПУБЛИКОВАНИЕ
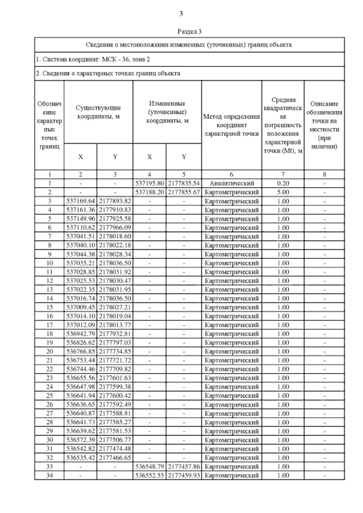
Приказ Департамента архитектуры и градостроительства Воронежской области от 20.09.2023 № 45-01-04/932
"О внесении изменений в правила землепользования и застройки Самовецкого сельского поселения Эртильского муниципального района Воронежской области"
(Зарегистрирован 29.09.2023 № 1075)
Номер опубликования: 3601202310040011
Дата опубликования: 04.10.2023
Страница №14 из 33:
Увеличить