Официальное опубликование правовых актов
ОФИЦИАЛЬНОЕ ОПУБЛИКОВАНИЕ
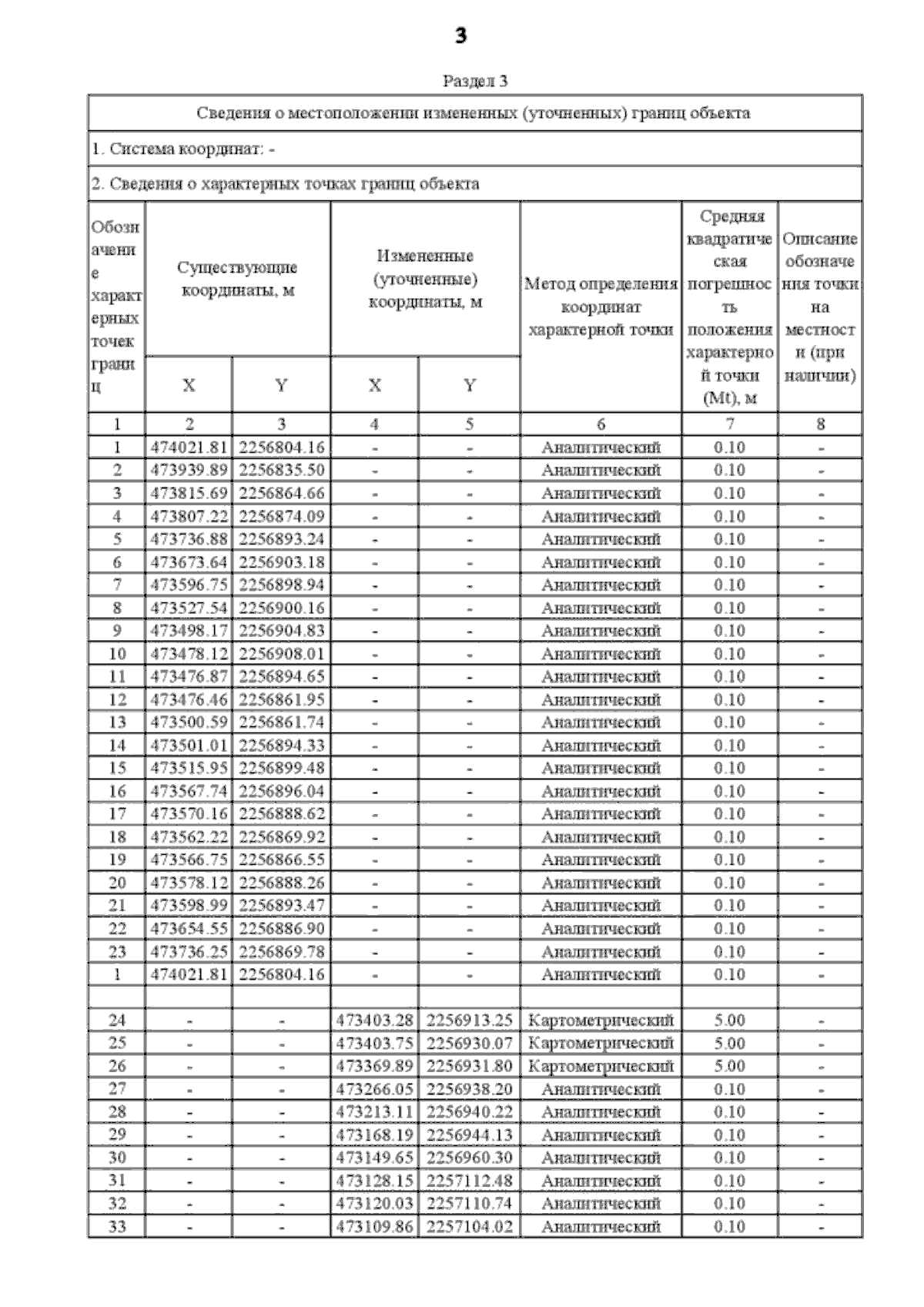
Приказ Департамента архитектуры и градостроительства Воронежской области от 20.09.2023 № 45-01-04/934
"О внесении изменений в правила землепользования и застройки Кутковского сельского поселения Грибановского муниципального района Воронежской области"
(Зарегистрирован 28.09.2023 № 1060)
Номер опубликования: 3601202310040008
Дата опубликования: 04.10.2023
Страница №35 из 46:
Увеличить