Официальное опубликование правовых актов
ОФИЦИАЛЬНОЕ ОПУБЛИКОВАНИЕ
Приказ Департамента архитектуры и градостроительства Воронежской области от 13.09.2023 № 45-01-04/906
"О внесении изменений в правила землепользования и застройки Староведугского сельского поселения Семилукского муниципального района Воронежской области"
(Зарегистрирован 28.09.2023 № 1068)
Номер опубликования: 3601202310040003
Дата опубликования: 04.10.2023
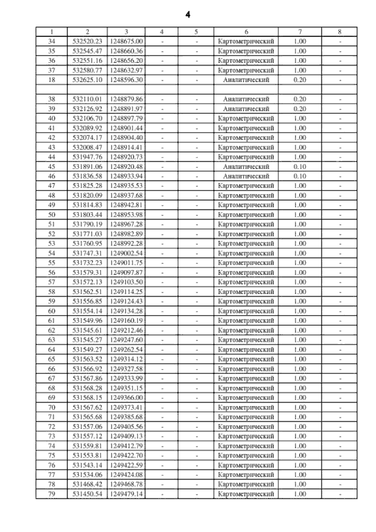
Страница №60 из 141:
Увеличить