Официальное опубликование правовых актов
ОФИЦИАЛЬНОЕ ОПУБЛИКОВАНИЕ
Приказ Департамента архитектуры и градостроительства Воронежской области от 18.09.2023 № 45-01-04/918
"О внесении изменений в правила землепользования и застройки Русановского сельского поселения Терновского муниципального района Воронежской области"
(Зарегистрирован 28.09.2023 № 1064)
Номер опубликования: 3601202310040002
Дата опубликования: 04.10.2023
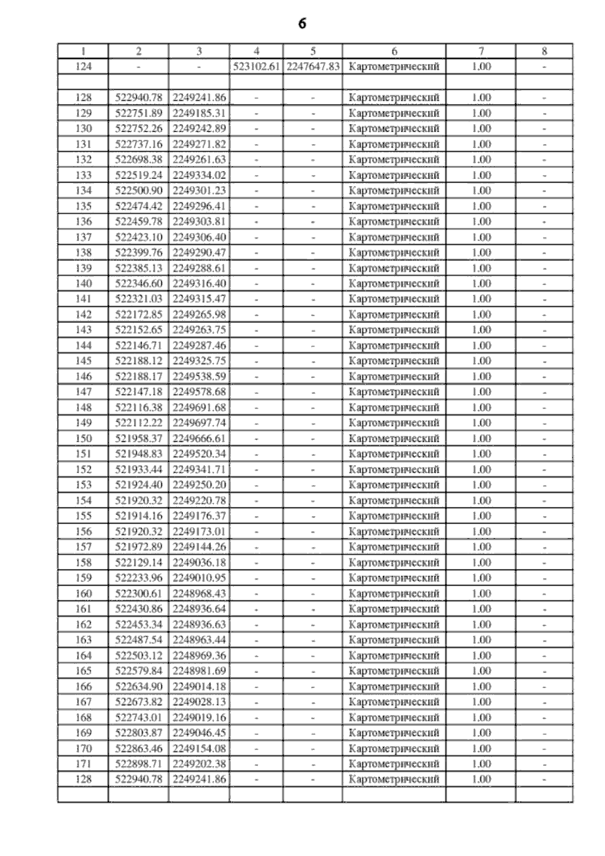
Страница №48 из 52:
Увеличить