Официальное опубликование правовых актов
ОФИЦИАЛЬНОЕ ОПУБЛИКОВАНИЕ
Приказ Департамента архитектуры и градостроительства Воронежской области от 23.08.2023 № 45-01-04/821
"О внесении изменений в правила землепользования и застройки Сергеевского сельского поселения Подгоренского муниципального района Воронежской области"
(Зарегистрирован 05.09.2023 № 980)
Номер опубликования: 3601202309060020
Дата опубликования: 06.09.2023
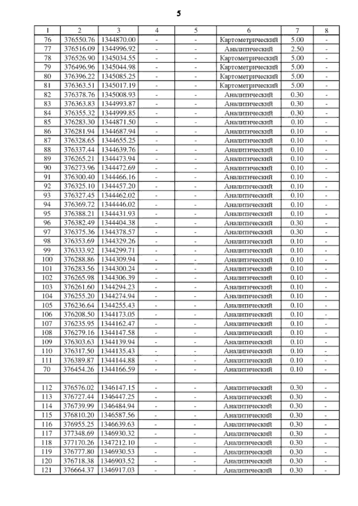
Страница №81 из 82:
Увеличить