Официальное опубликование правовых актов
ОФИЦИАЛЬНОЕ ОПУБЛИКОВАНИЕ
Приказ Департамента архитектуры и градостроительства Воронежской области от 09.08.2023 № 45-01-04/763
"О внесении изменений в правила землепользования и застройки Шубинского сельского поселения Острогожского муниципального района Воронежской области"
(Зарегистрирован 22.08.2023 № 917)
Номер опубликования: 3601202308300001
Дата опубликования: 30.08.2023
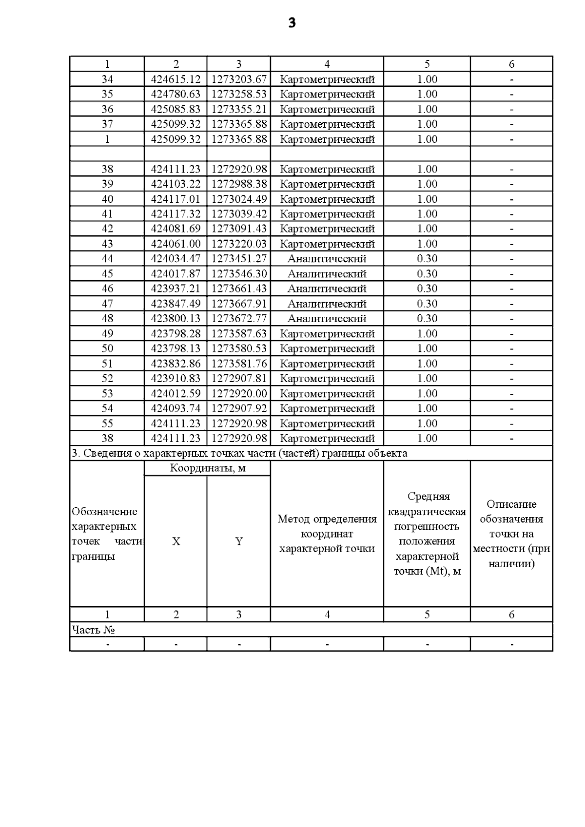
Страница №19 из 51:
Увеличить