Официальное опубликование правовых актов
ОФИЦИАЛЬНОЕ ОПУБЛИКОВАНИЕ
Приказ Департамента архитектуры и градостроительства Воронежской области от 11.08.2023 № 45-01-04/782
"Об утверждении правил землепользования и застройки Грибановского городского поселения Грибановского муниципального района Воронежской области"
(Зарегистрирован 22.08.2023 № 923)
Номер опубликования: 3601202308250004
Дата опубликования: 25.08.2023
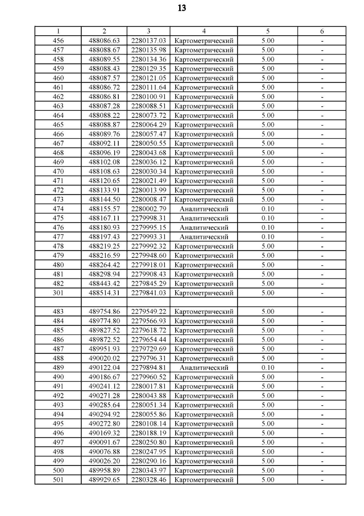
Страница №71 из 272:
Увеличить