Официальное опубликование правовых актов
ОФИЦИАЛЬНОЕ ОПУБЛИКОВАНИЕ
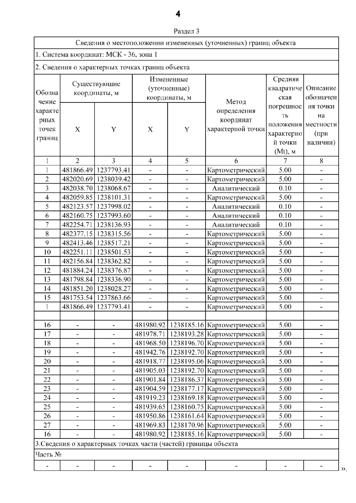
Приказ Департамента архитектуры и градостроительства Воронежской области от 04.08.2023 № 45-01-04/749
"О внесении изменений в правила землепользования и застройки Хвощеватовского сельского поселения Нижнедевицкого муниципального района Воронежской области"
(Зарегистрирован 15.08.2023 № 902)
Номер опубликования: 3601202308160009
Дата опубликования: 16.08.2023
Страница №12 из 15:
Увеличить