Официальное опубликование правовых актов
ОФИЦИАЛЬНОЕ ОПУБЛИКОВАНИЕ
Приказ Департамента архитектуры и градостроительства Воронежской области от 03.08.2023 № 45-01-04/742
"О внесении изменений в правила землепользования и застройки Норово-Ротаевского сельского поселения Нижнедевицкого муниципального района Воронежской области"
(Зарегистрирован 10.08.2023 № 888)
Номер опубликования: 3601202308110006
Дата опубликования: 11.08.2023
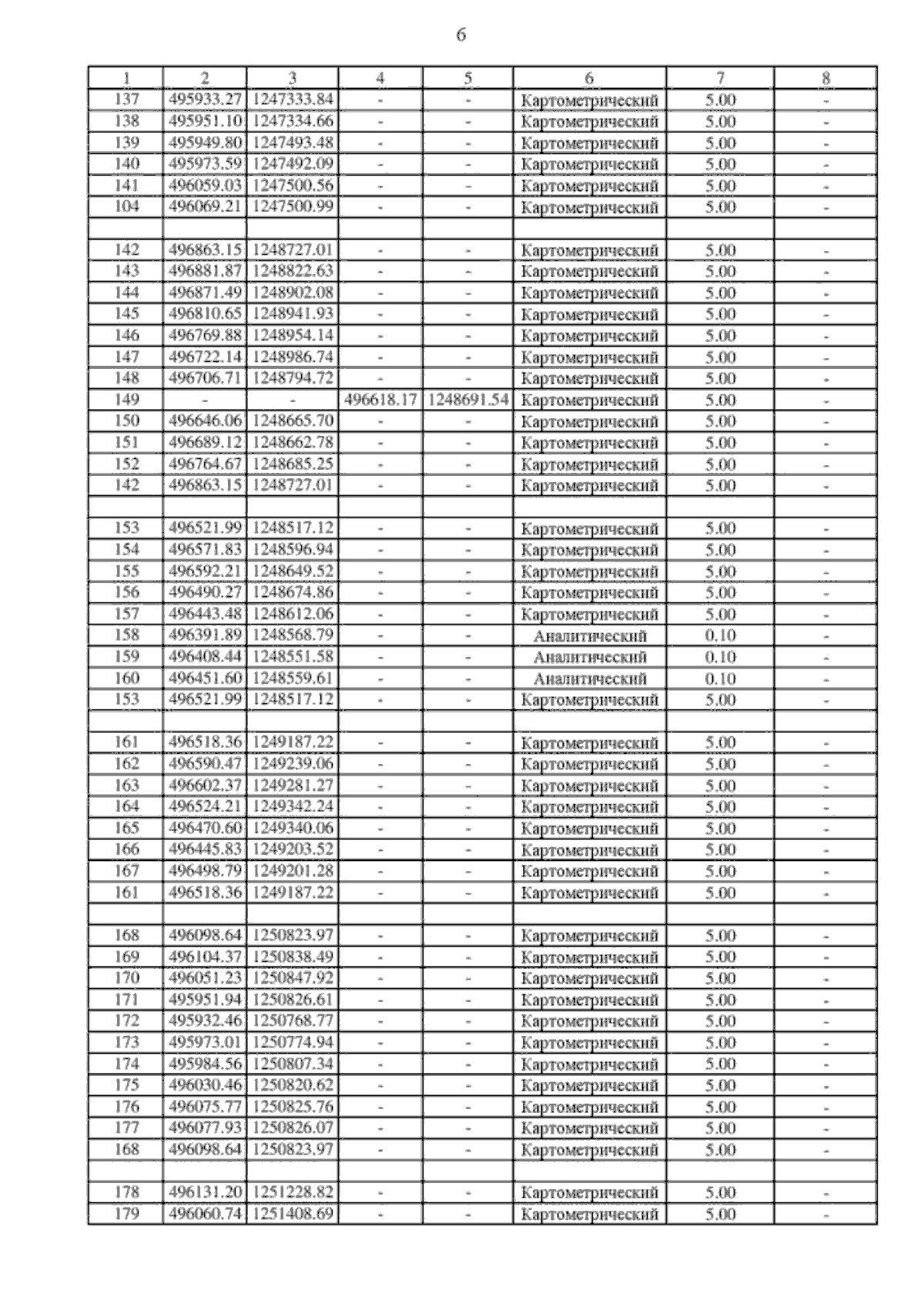
Страница №54 из 58:
Увеличить