Официальное опубликование правовых актов
ОФИЦИАЛЬНОЕ ОПУБЛИКОВАНИЕ
Приказ Департамента архитектуры и градостроительства Воронежской области от 03.08.2023 № 45-01-04/743
"О внесении изменений в правила землепользования и застройки Новомакаровского сельского поселения Грибановского муниципального района Воронежской области"
(Зарегистрирован 10.08.2023 № 887)
Номер опубликования: 3601202308110005
Дата опубликования: 11.08.2023
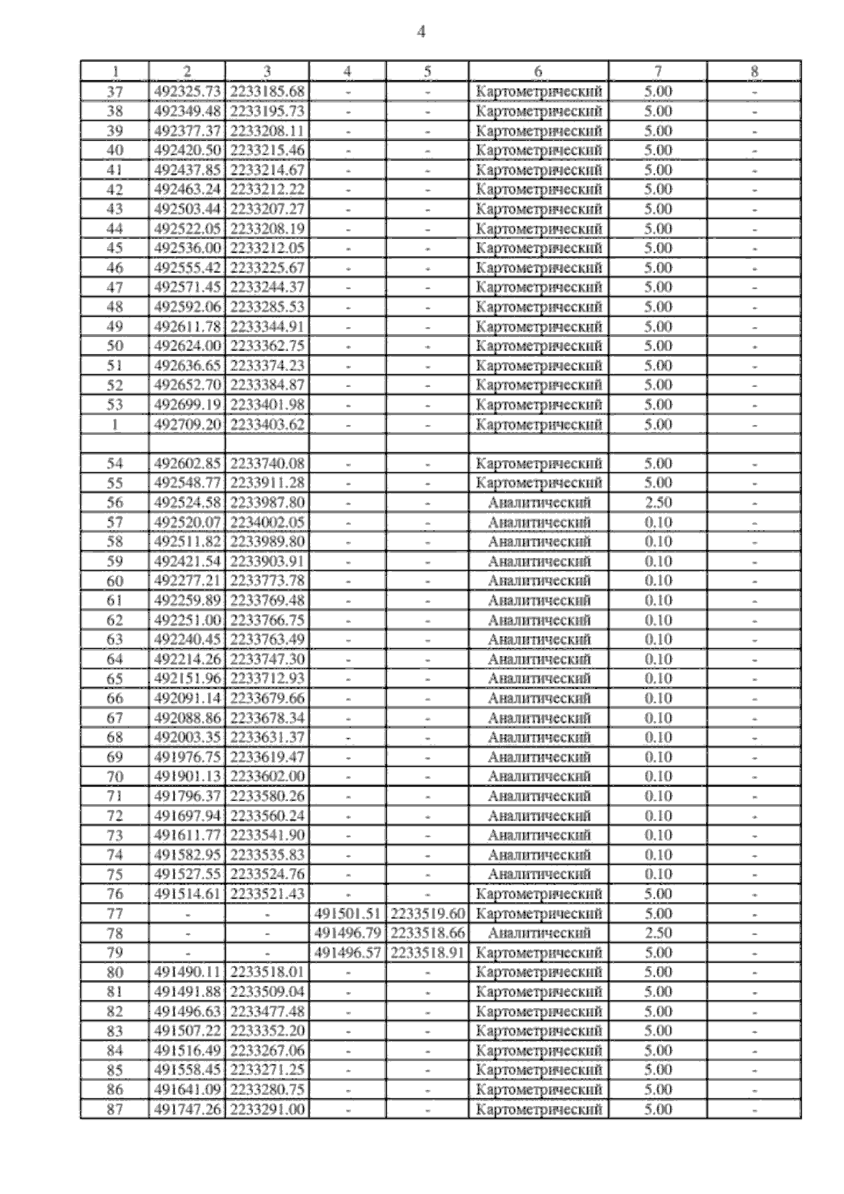
Страница №32 из 54:
Увеличить