Официальное опубликование правовых актов
ОФИЦИАЛЬНОЕ ОПУБЛИКОВАНИЕ
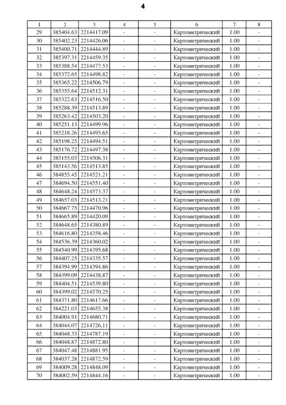
Приказ Департамента архитектуры и градостроительства Воронежской области от 03.08.2023 № 45-01-04/746
"О внесении изменений в правила землепользования и застройки Краснобратского сельского поселения Калачеевского муниципального района Воронежской области"
(Зарегистрирован 10.08.2023 № 884)
Номер опубликования: 3601202308110002
Дата опубликования: 11.08.2023
Страница №19 из 35:
Увеличить