Официальное опубликование правовых актов
ОФИЦИАЛЬНОЕ ОПУБЛИКОВАНИЕ
Приказ Департамента архитектуры и градостроительства Воронежской области от 31.07.2023 № 45-01-04/725
"Об утверждении правил землепользования и застройки Переваленского сельского поселения Подгоренского муниципального района Воронежской области"
(Зарегистрирован 07.08.2023 № 877)
Номер опубликования: 3601202308080001
Дата опубликования: 08.08.2023
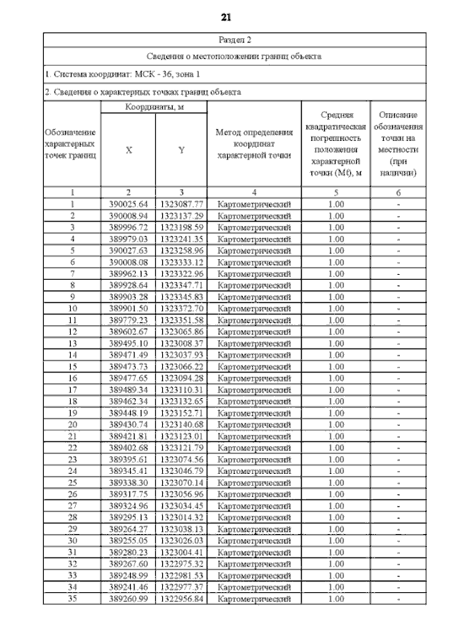
Страница №111 из 134:
Увеличить