Официальное опубликование правовых актов
ОФИЦИАЛЬНОЕ ОПУБЛИКОВАНИЕ
Приказ Департамента архитектуры и градостроительства Воронежской области от 13.07.2023 № 45-01-04/633
"Об утверждении правил землепользования и застройки Морозовского сельского поселения Эртильского муниципального района Воронежской области"
(Зарегистрирован 24.07.2023 № 810)
Номер опубликования: 3601202307260015
Дата опубликования: 26.07.2023
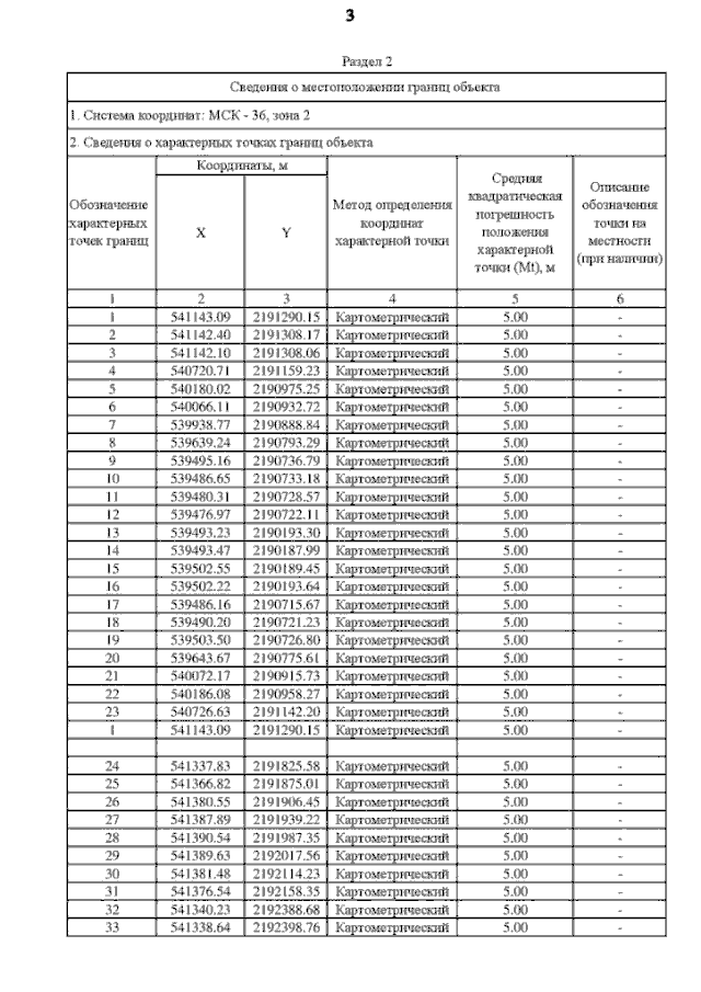
Страница №121 из 135:
Увеличить