Официальное опубликование правовых актов
ОФИЦИАЛЬНОЕ ОПУБЛИКОВАНИЕ
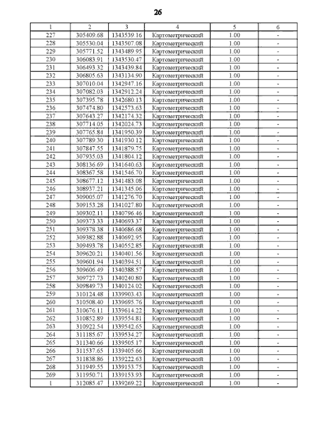
Приказ Департамента архитектуры и градостроительства Воронежской области от 13.07.2023 № 45-01-04/636
"Об утверждении правил землепользования и застройки Журавского сельского поселения Кантемировского муниципального района Воронежской области"
(Зарегистрирован 24.07.2023 № 813)
Номер опубликования: 3601202307260012
Дата опубликования: 26.07.2023
Страница №222 из 230:
Увеличить