Официальное опубликование правовых актов
ОФИЦИАЛЬНОЕ ОПУБЛИКОВАНИЕ
Приказ Департамента архитектуры и градостроительства Воронежской области от 07.07.2023 № 45-01-04/615
"Об утверждении правил землепользования и застройки Фисенковского сельского поселения Кантемировского муниципального района Воронежской области"
(Зарегистрирован 24.07.2023 № 815)
Номер опубликования: 3601202307260006
Дата опубликования: 26.07.2023
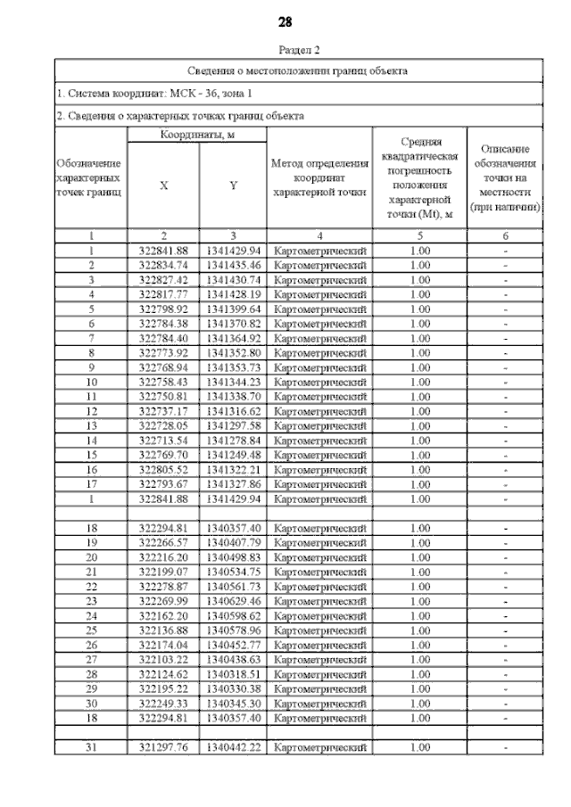
Страница №105 из 147:
Увеличить