Официальное опубликование правовых актов
ОФИЦИАЛЬНОЕ ОПУБЛИКОВАНИЕ
Приказ Департамента архитектуры и градостроительства Воронежской области от 07.07.2023 № 45-01-04/611
"Об утверждении правил землепользования и застройки Добринского сельского поселения Таловского муниципального района Воронежской области"
(Зарегистрирован 19.07.2023 № 805)
Номер опубликования: 3601202307200002
Дата опубликования: 20.07.2023
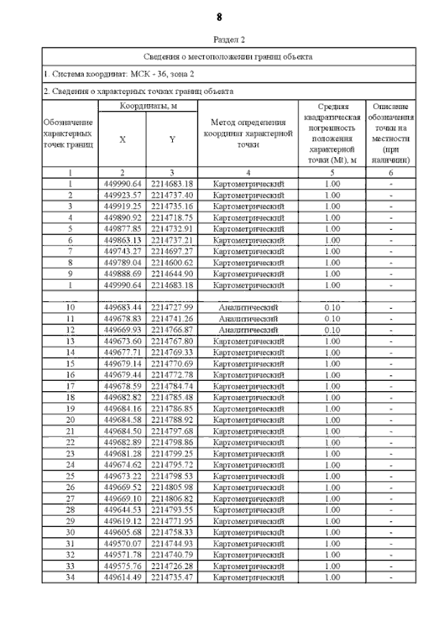
Страница №118 из 152:
Увеличить