Официальное опубликование правовых актов
ОФИЦИАЛЬНОЕ ОПУБЛИКОВАНИЕ
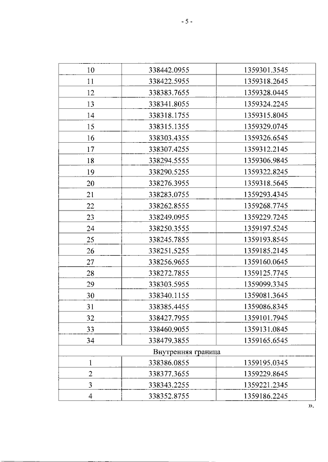
Приказ управления по охране объектов культурного наследия Воронежской области от 07.07.2023 № 71-01-07/320
"О внесении изменений в приказ управления по охране объектов культурного наследия Воронежской области от 28.11.2019 № 71-01-07/326"
(Зарегистрирован 14.07.2023 № 787)
Номер опубликования: 3601202307180001
Дата опубликования: 18.07.2023
Страница №5 из 6:
Увеличить