Официальное опубликование правовых актов
ОФИЦИАЛЬНОЕ ОПУБЛИКОВАНИЕ
Приказ Департамента архитектуры и градостроительства Воронежской области от 23.06.2023 № 45-01-04/553
"Об утверждении правил землепользования и застройки Новобелянского сельского поселения Кантемировского муниципального района Воронежской области"
(Зарегистрирован 05.07.2023 № 736)
Номер опубликования: 3601202307070001
Дата опубликования: 07.07.2023
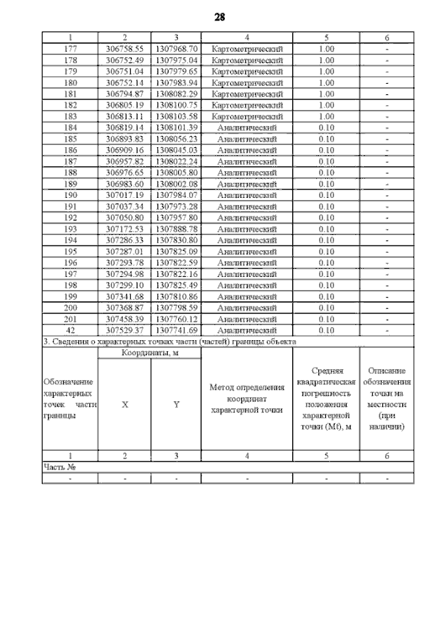
Страница №66 из 107:
Увеличить