Официальное опубликование правовых актов
ОФИЦИАЛЬНОЕ ОПУБЛИКОВАНИЕ
Приказ Департамента архитектуры и градостроительства Воронежской области от 19.06.2023 № 45-01-04/513
"Об утверждении правил землепользования и застройки Кучугуровского сельского поселения Нижнедевицкого муниципального района Воронежской области"
(Зарегистрирован 30.06.2023 № 721)
Номер опубликования: 3601202307030002
Дата опубликования: 03.07.2023
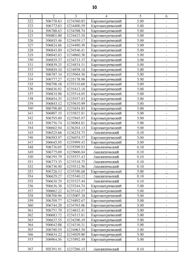
Страница №76 из 179:
Увеличить