Официальное опубликование правовых актов
ОФИЦИАЛЬНОЕ ОПУБЛИКОВАНИЕ
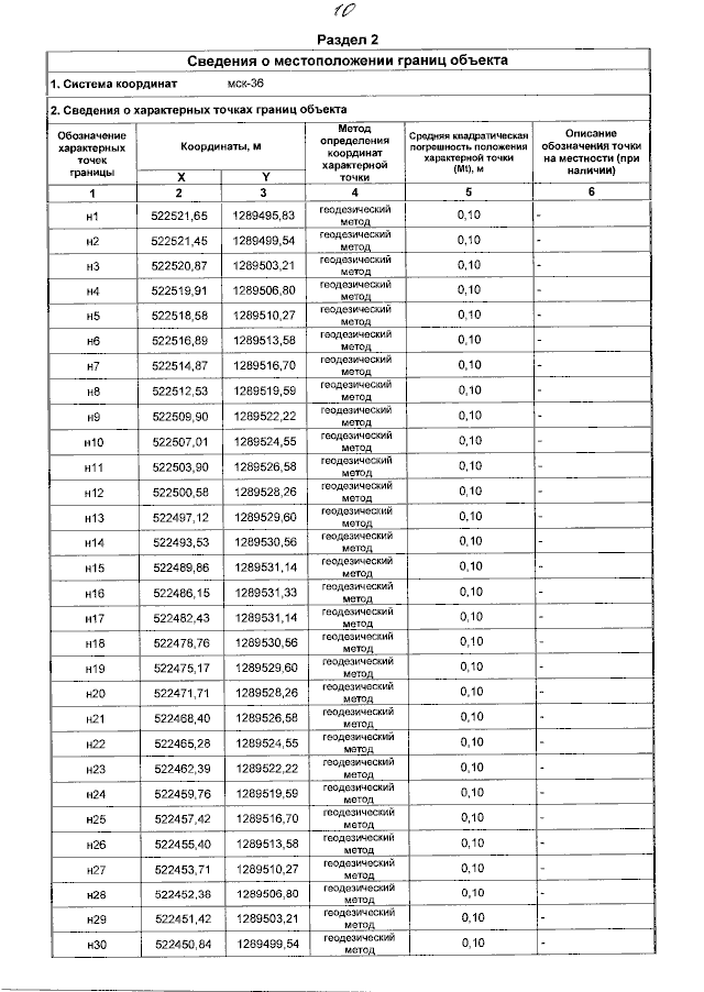
Приказ департамента природных ресурсов и экологии Воронежской области от 13.06.2023 № 271
"Об установлении зон санитарной охраны существующей скважины № 176 для питьевого, хозяйственно-бытового водоснабжения Потребительского кооператива жилищно-коммунального хозяйства "Лесково"
(Зарегистрирован 26.06.2023 № 702)
Номер опубликования: 3601202306300007
Дата опубликования: 30.06.2023
Страница №12 из 21:
Увеличить