Официальное опубликование правовых актов
ОФИЦИАЛЬНОЕ ОПУБЛИКОВАНИЕ
Приказ Департамента архитектуры и градостроительства Воронежской области от 06.06.2023 № 45-01-04/461
"О внесении изменений в правила землепользования и застройки Новогремяченского сельского поселения Хохольского муниципального района Воронежской области"
(Зарегистрирован 20.06.2023 № 668)
Номер опубликования: 3601202306220001
Дата опубликования: 22.06.2023
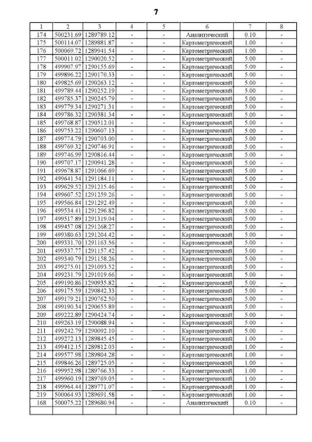
Страница №40 из 51:
Увеличить