Официальное опубликование правовых актов
ОФИЦИАЛЬНОЕ ОПУБЛИКОВАНИЕ
Приказ Департамента архитектуры и градостроительства Воронежской области от 31.05.2023 № 45-01-04/425
"О внесении изменений в правила землепользования и застройки Юдинского сельского поселения Подгоренского муниципального района Воронежской области"
(Зарегистрирован 07.06.2023 № 607)
Номер опубликования: 3601202306080014
Дата опубликования: 08.06.2023
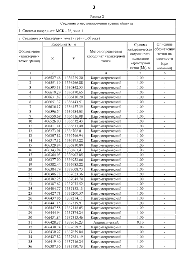
Страница №44 из 168:
Увеличить