Официальное опубликование правовых актов
ОФИЦИАЛЬНОЕ ОПУБЛИКОВАНИЕ
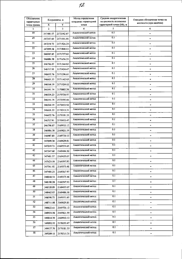
Приказ департамента природных ресурсов и экологии Воронежской области от 26.05.2023 № 234
"Об установлении зон санитарной охраны одной эксплуатационной скважины б/н (ГВК 20211732) для питьевого и хозяйственно-бытового водоснабжения предприятия ПАО Молочный комбинат "Воронежский"
(Зарегистрирован 02.06.2023 № 585)
Номер опубликования: 3601202306060016
Дата опубликования: 06.06.2023
Страница №14 из 16:
Увеличить