Официальное опубликование правовых актов
ОФИЦИАЛЬНОЕ ОПУБЛИКОВАНИЕ
Приказ Департамента архитектуры и градостроительства Воронежской области от 02.05.2023 № 45-01-04/327
"Об утверждении правил землепользования и застройки Народненского сельского поселения Терновского муниципального района Воронежской области"
(Зарегистрирован 12.05.2023 № 467)
Номер опубликования: 3601202305170002
Дата опубликования: 17.05.2023
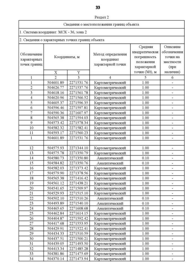
Страница №79 из 290:
Увеличить