Официальное опубликование правовых актов
ОФИЦИАЛЬНОЕ ОПУБЛИКОВАНИЕ
Приказ Департамента архитектуры и градостроительства Воронежской области от 24.04.2023 № 45-01-04/306
"О внесении изменений в правила землепользования и застройки Дьяченковского сельского поселения Богучарского муниципального района Воронежской области"
(Зарегистрирован 02.05.2023 № 448)
Номер опубликования: 3601202305050009
Дата опубликования: 05.05.2023
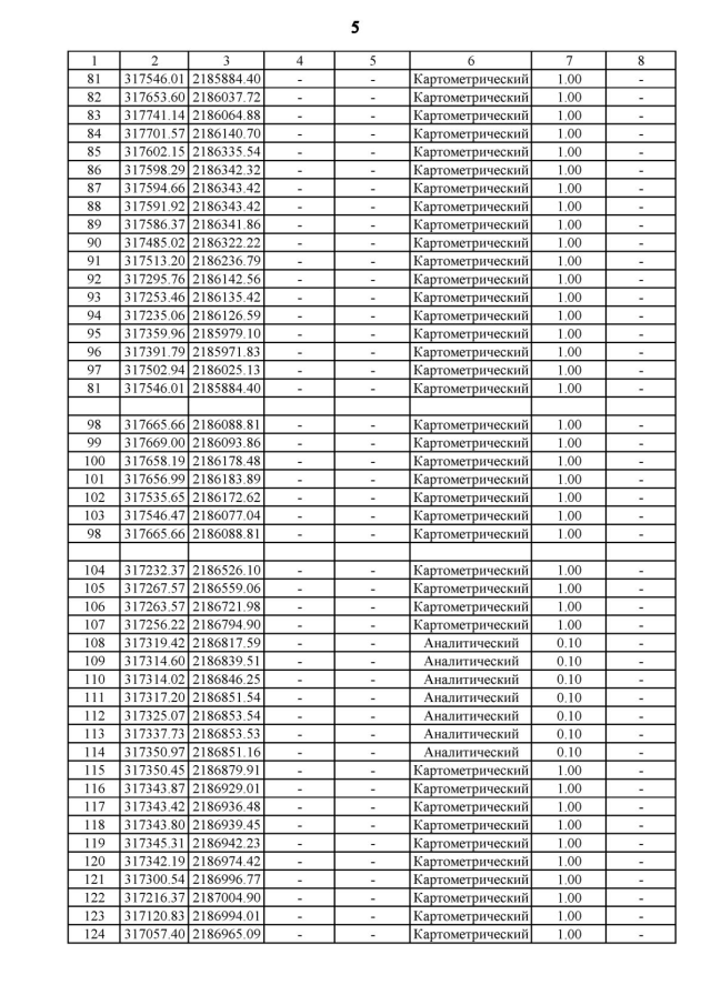
Страница №41 из 79:
Увеличить