Официальное опубликование правовых актов
ОФИЦИАЛЬНОЕ ОПУБЛИКОВАНИЕ
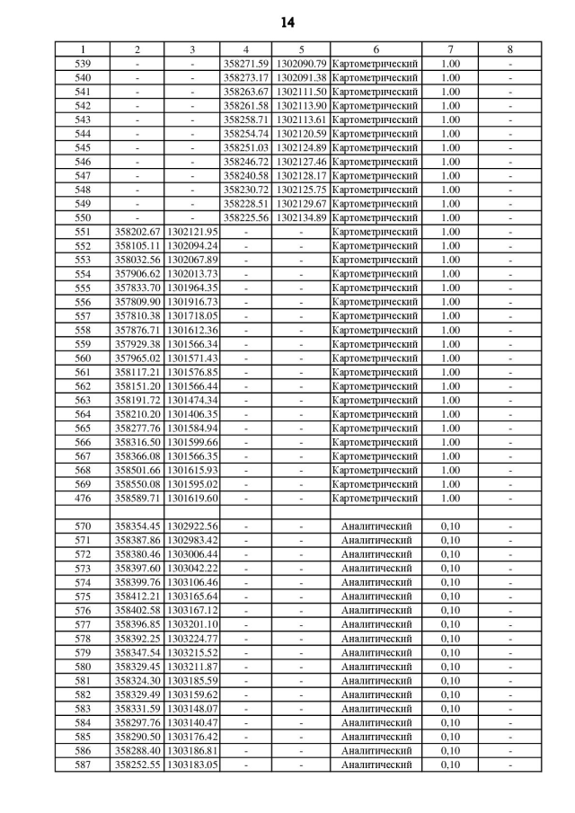
Приказ Департамента архитектуры и градостроительства Воронежской области от 20.04.2023 № 45-01-04/282
"О внесении изменений в правила землепользования и застройки Марьевского сельского поселения Ольховатского муниципального района Воронежской области"
(Зарегистрирован 28.04.2023 № 435)
Номер опубликования: 3601202305020006
Дата опубликования: 02.05.2023
Страница №28 из 29:
Увеличить