Официальное опубликование правовых актов
ОФИЦИАЛЬНОЕ ОПУБЛИКОВАНИЕ
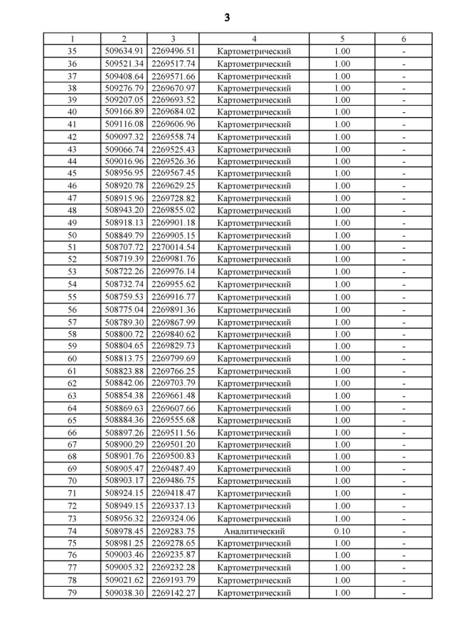
Приказ Департамента архитектуры и градостроительства Воронежской области от 18.04.2023 № 45-01-04/279
"О внесении изменений в правила землепользования и застройки Алешковского сельского поселения Терновского муниципального района Воронежской области"
(Зарегистрирован 28.04.2023 № 434)
Номер опубликования: 3601202305020005
Дата опубликования: 02.05.2023
Страница №12 из 32:
Увеличить