Официальное опубликование правовых актов
ОФИЦИАЛЬНОЕ ОПУБЛИКОВАНИЕ
Приказ Департамента архитектуры и градостроительства Воронежской области от 22.03.2023 № 45-01-04/184
"Об утверждении правил землепользования и застройки городского поселения – город Семилуки Семилукского муниципального района Воронежской области"
(Зарегистрирован 05.04.2023 № 311)
Номер опубликования: 3601202304120011
Дата опубликования: 12.04.2023
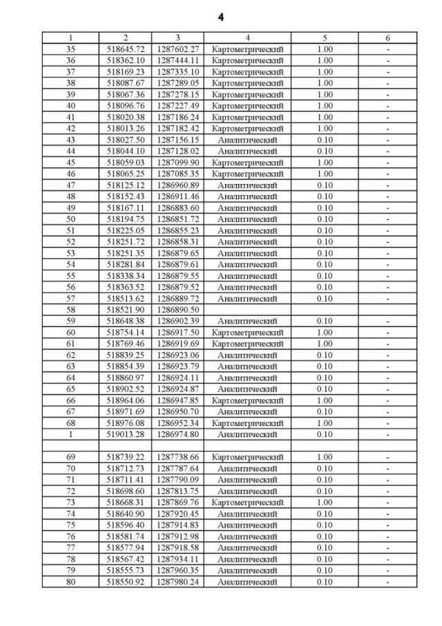
Страница №73 из 401:
Увеличить