Официальное опубликование правовых актов
ОФИЦИАЛЬНОЕ ОПУБЛИКОВАНИЕ
Приказ Департамента архитектуры и градостроительства Воронежской области от 29.03.2023 № 45-01-04/214
"О внесении изменений в правила землепользования и застройки Михайловского сельского поселения Панинского муниципального района Воронежской области"
(Зарегистрирован 07.04.2023 № 328)
Номер опубликования: 3601202304120008
Дата опубликования: 12.04.2023
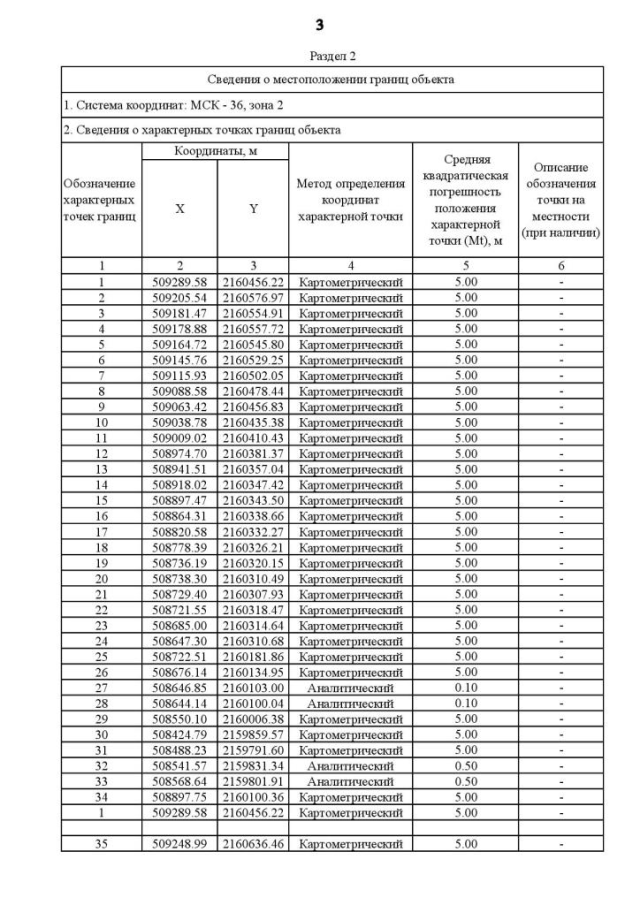
Страница №106 из 146:
Увеличить