Официальное опубликование правовых актов
ОФИЦИАЛЬНОЕ ОПУБЛИКОВАНИЕ
Приказ Департамента архитектуры и градостроительства Воронежской области от 22.03.2023 № 45-01-04/186
"О внесении изменений в правила землепользования и застройки Семёно-Александровского сельского поселения Бобровского муниципального района Воронежской области"
(Зарегистрирован 04.04.2023 № 304)
Номер опубликования: 3601202304120002
Дата опубликования: 12.04.2023
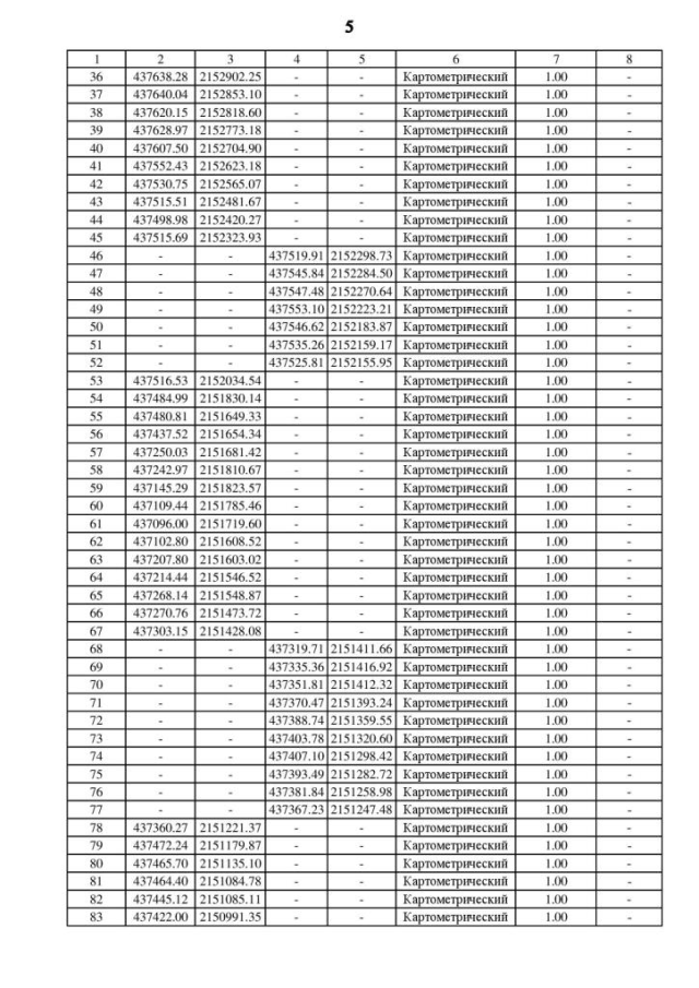
Страница №20 из 26:
Увеличить