Официальное опубликование правовых актов
ОФИЦИАЛЬНОЕ ОПУБЛИКОВАНИЕ
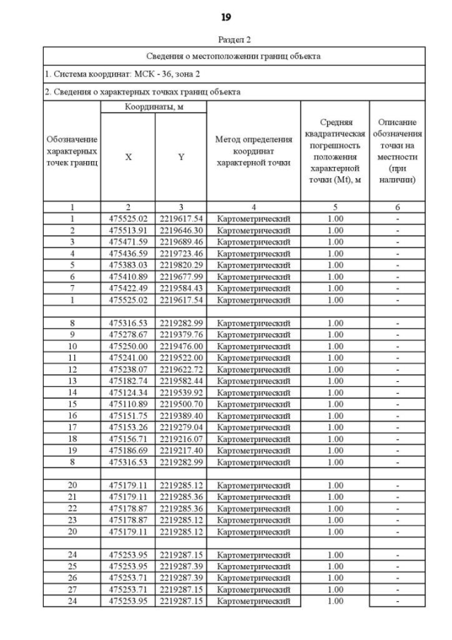
Приказ Департамента архитектуры и градостроительства Воронежской области от 22.03.2023 № 45-01-04/183
"Об утверждении правил землепользования и застройки Синявского сельского поселения Таловского муниципального района Воронежской области"
(Зарегистрирован 04.04.2023 № 305)
Номер опубликования: 3601202304120001
Дата опубликования: 12.04.2023
Страница №170 из 244:
Увеличить