Официальное опубликование правовых актов
ОФИЦИАЛЬНОЕ ОПУБЛИКОВАНИЕ
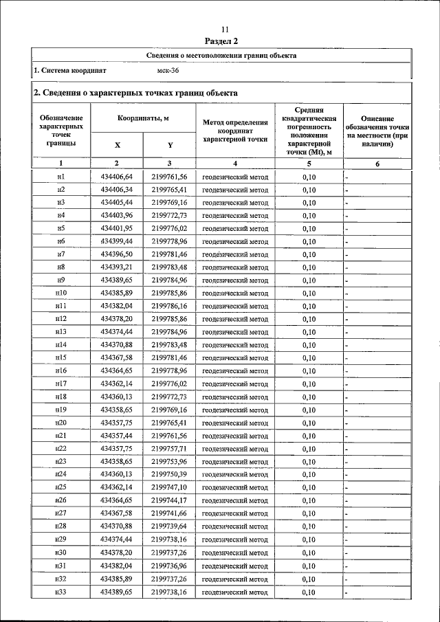
Приказ департамента природных ресурсов и экологии Воронежской области от 24.03.2023 № 155
"Об установлении зон санитарной охраны одной существующей скважины № 42304 для питьевого, хозяйственно-бытового водоснабжения Муниципального унитарного предприятия Таловского городского поселения Таловского муниципального района Воронежской области "Вымпел"
(Зарегистрирован 06.04.2023 № 318)
Номер опубликования: 3601202304070009
Дата опубликования: 07.04.2023
Страница №13 из 22:
Увеличить