Официальное опубликование правовых актов
ОФИЦИАЛЬНОЕ ОПУБЛИКОВАНИЕ
Приказ Департамента архитектуры и градостроительства Воронежской области от 22.03.2023 № 45-01-04/185
"О внесении изменений в правила землепользования и застройки Никольского сельского поселения Бобровского муниципального района Воронежской области"
(Зарегистрирован 04.04.2023 № 302)
Номер опубликования: 3601202304050002
Дата опубликования: 05.04.2023
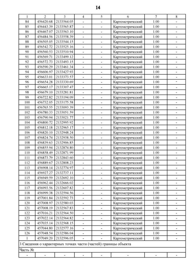
Страница №22 из 46:
Увеличить