Официальное опубликование правовых актов
ОФИЦИАЛЬНОЕ ОПУБЛИКОВАНИЕ
Приказ Департамента архитектуры и градостроительства Воронежской области от 13.03.2023 № 45-01-04/170
"О внесении изменений в правила землепользования и застройки городского поселения – город Бобров Бобровского муниципального района Воронежской области"
(Зарегистрирован 17.03.2023 № 216)
Номер опубликования: 3601202303240016
Дата опубликования: 24.03.2023
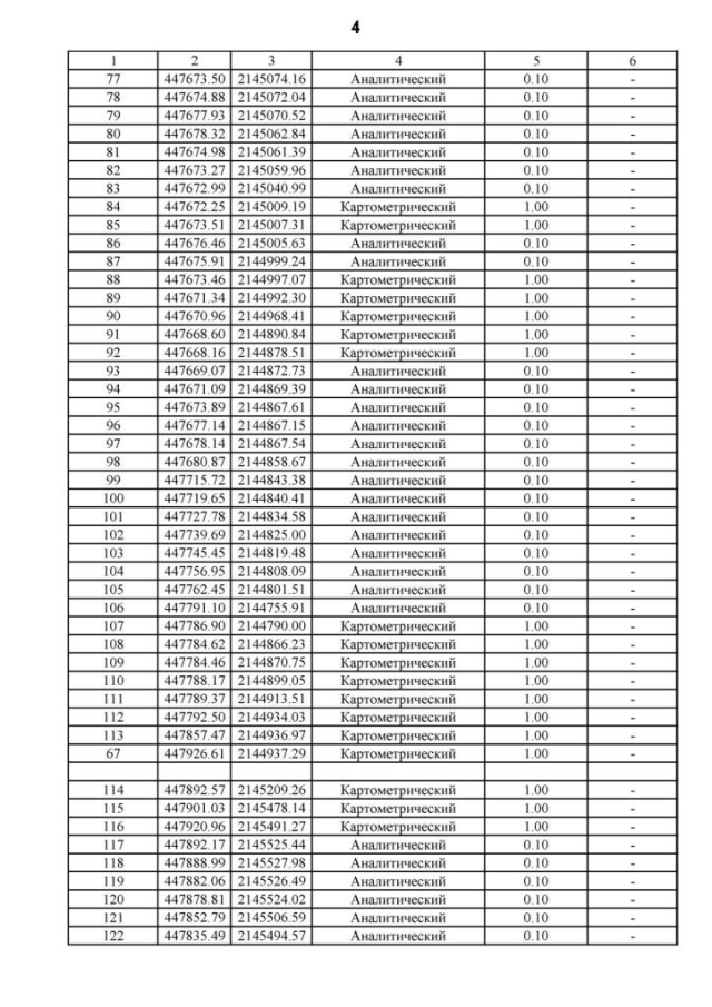
Страница №75 из 368:
Увеличить