Официальное опубликование правовых актов
ОФИЦИАЛЬНОЕ ОПУБЛИКОВАНИЕ
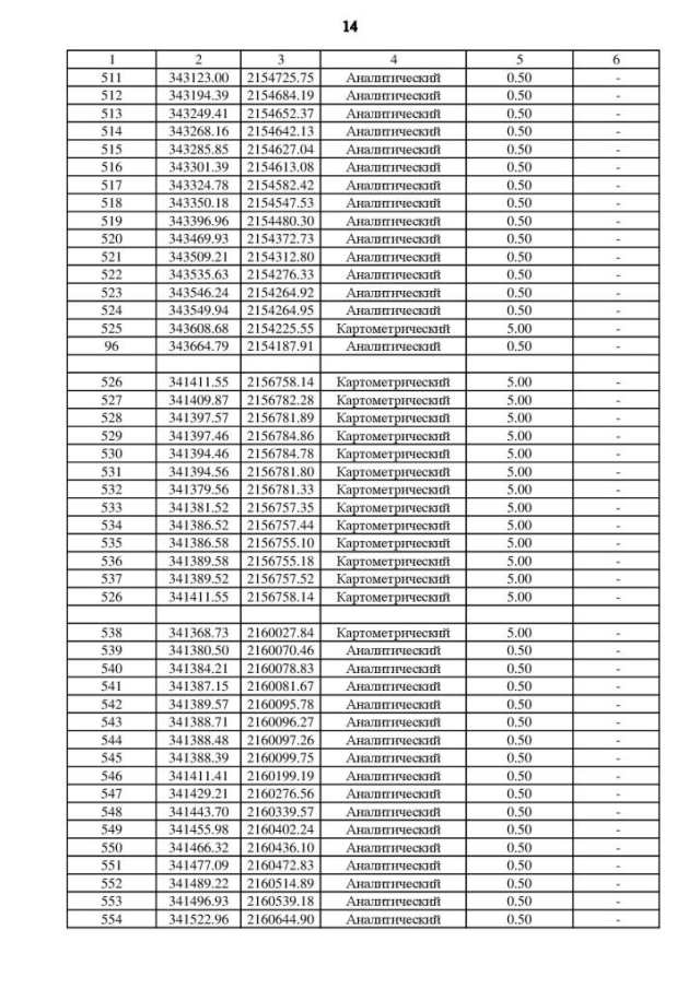
Приказ Департамента архитектуры и градостроительства Воронежской области от 02.03.2023 № 45-01-04/119
"О внесении изменений в правила землепользования и застройки Гороховского сельского поселения Верхнемамонского муниципального района Воронежской области"
(Зарегистрирован 15.03.2023 № 196)
Номер опубликования: 3601202303240015
Дата опубликования: 24.03.2023
Страница №168 из 195:
Увеличить