Официальное опубликование правовых актов
ОФИЦИАЛЬНОЕ ОПУБЛИКОВАНИЕ
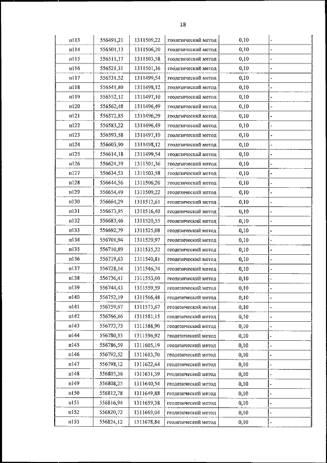
Приказ департамента природных ресурсов и экологии Воронежской области от 14.02.2023 № 80
"Об установлении зон санитарной охраны одной существующей скважины № 1 для питьевого, хозяйственно-бытового водоснабжения ИП Маньков Р.В."
(Зарегистрирован 22.02.2023 № 135)
Номер опубликования: 3601202302280010
Дата опубликования: 28.02.2023
Страница №20 из 23:
Увеличить