Официальное опубликование правовых актов
ОФИЦИАЛЬНОЕ ОПУБЛИКОВАНИЕ
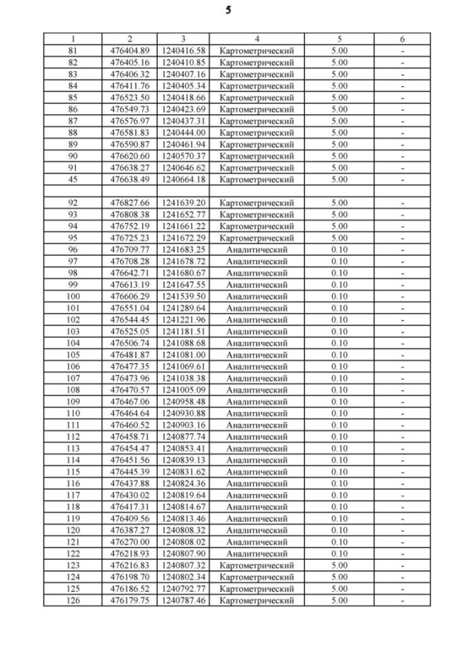
Приказ Департамента архитектуры и градостроительства Воронежской области от 30.01.2023 № 45-01-04/54
"Об утверждении правил землепользования и застройки Синелипяговского сельского поселения Нижнедевицкого муниципального района Воронежской области"
(Зарегистрирован 10.02.2023 № 108)
Номер опубликования: 3601202302140005
Дата опубликования: 14.02.2023
Страница №146 из 240:
Увеличить