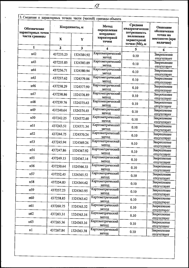
Приказ департамента природных ресурсов и экологии Воронежской области от 25.01.2023 № 40
"Об установлении зон санитарной охраны эксплуатационной скважины № 28467 для питьевого, хозяйственно-бытового и технологического водоснабжения АО "ХЛЕБНАЯ БАЗА № 8"
(Зарегистрирован 07.02.2023 № 90)
"Об установлении зон санитарной охраны эксплуатационной скважины № 28467 для питьевого, хозяйственно-бытового и технологического водоснабжения АО "ХЛЕБНАЯ БАЗА № 8"
(Зарегистрирован 07.02.2023 № 90)
Номер опубликования: 3601202302090009
Дата опубликования:
09.02.2023
