Официальное опубликование правовых актов
ОФИЦИАЛЬНОЕ ОПУБЛИКОВАНИЕ
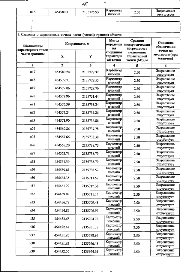
Приказ департамента природных ресурсов и экологии Воронежской области от 23.01.2023 № 36
"Об установлении зон санитарной охраны двух действующих скважин №№ 1,2 для питьевого, хозяйственно-бытового и технологического водоснабжения МТФ "2е Никольское" ООО "ЭкоНиваАгро"
(Зарегистрирован 01.02.2023 № 51)
Номер опубликования: 3601202302030003
Дата опубликования: 03.02.2023
Страница №14 из 22:
Увеличить