Официальное опубликование правовых актов
ОФИЦИАЛЬНОЕ ОПУБЛИКОВАНИЕ
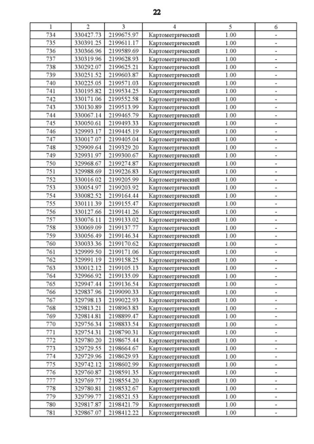
Приказ Департамента архитектуры и градостроительства Воронежской области от 12.01.2023 № 45-01-04/4
"О внесении изменений в правила землепользования и застройки Бычковского сельского поселения Петропавловского муниципального района Воронежской области"
(Зарегистрирован 18.01.2023 № 7)
Номер опубликования: 3601202301230006
Дата опубликования: 23.01.2023
Страница №33 из 68:
Увеличить