Официальное опубликование правовых актов
ОФИЦИАЛЬНОЕ ОПУБЛИКОВАНИЕ
Приказ Департамента архитектуры и градостроительства Воронежской области от 16.12.2022 № 45-01-04/1258
"О внесении изменений в правила землепользования и застройки Малоалабухского сельского поселения Грибановского муниципального района Воронежской области"
(Зарегистрирован 28.12.2022 № 2080)
Номер опубликования: 3601202212300025
Дата опубликования: 30.12.2022
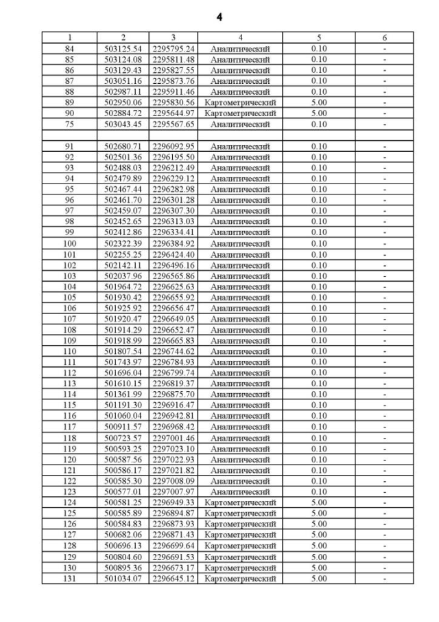
Страница №14 из 43:
Увеличить