Официальное опубликование правовых актов
ОФИЦИАЛЬНОЕ ОПУБЛИКОВАНИЕ
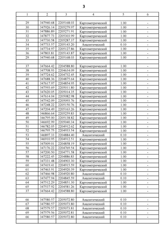
Приказ Департамента архитектуры и градостроительства Воронежской области от 19.12.2022 № 45-01-04/1267
"О внесении изменений в правила землепользования и застройки Красносёловского сельского поселения Петропавловского муниципального района Воронежской области"
(Зарегистрирован 28.12.2022 № 2084)
Номер опубликования: 3601202212300004
Дата опубликования: 30.12.2022
Страница №58 из 71:
Увеличить