Официальное опубликование правовых актов
ОФИЦИАЛЬНОЕ ОПУБЛИКОВАНИЕ
Приказ Департамента архитектуры и градостроительства Воронежской области от 12.12.2022 № 45-01-04/1228
"О внесении изменений в правила землепользования и застройки Новочигольского сельского поселения Таловского муниципального района Воронежской области"
(Зарегистрирован 20.12.2022 № 2004)
Номер опубликования: 3601202212210003
Дата опубликования: 21.12.2022
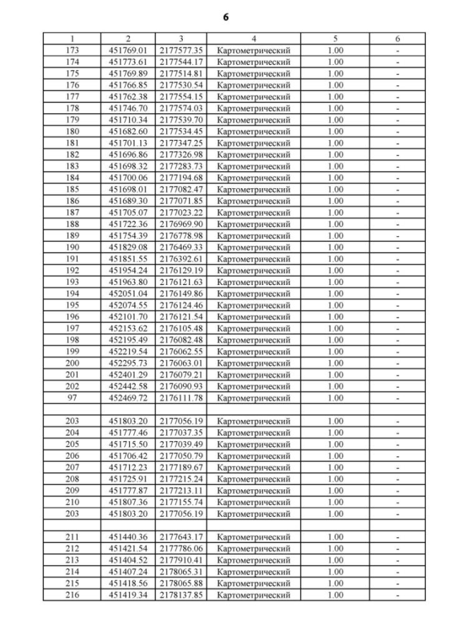
Страница №205 из 216:
Увеличить