Официальное опубликование правовых актов
ОФИЦИАЛЬНОЕ ОПУБЛИКОВАНИЕ
Приказ Департамента архитектуры и градостроительства Воронежской области от 08.12.2022 № 45-01-04/1226
"О внесении изменений в правила землепользования и застройки Сухогаёвского сельского поселения Верхнехавского муниципального района Воронежской области"
(Зарегистрирован 14.12.2022 № 1988)
Номер опубликования: 3601202212150002
Дата опубликования: 15.12.2022
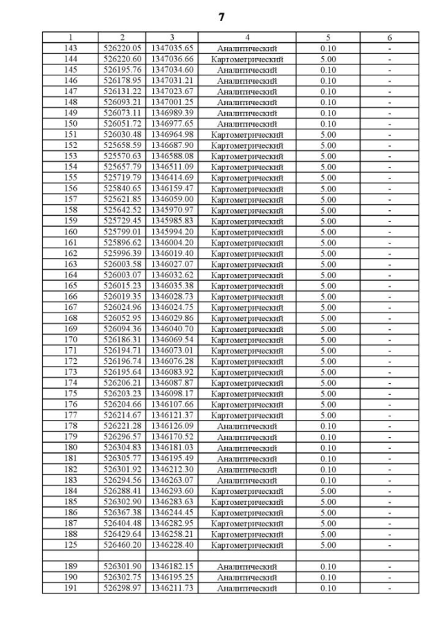
Страница №41 из 163:
Увеличить