Официальное опубликование правовых актов
ОФИЦИАЛЬНОЕ ОПУБЛИКОВАНИЕ
Приказ управления по охране объектов культурного наследия Воронежской области от 29.11.2022 № 71-01-07/488
"О внесении изменений в приказ управления по охране объектов культурного наследия Воронежской области от 04.12.2019 № 71-01-07/339"
(Зарегистрирован 09.12.2022 № 1959)
Номер опубликования: 3601202212140011
Дата опубликования: 14.12.2022
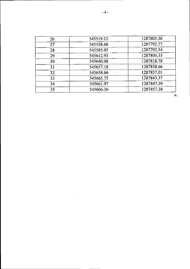
Страница №4 из 9:
Увеличить