Официальное опубликование правовых актов
ОФИЦИАЛЬНОЕ ОПУБЛИКОВАНИЕ
Приказ Департамента архитектуры и градостроительства Воронежской области от 30.11.2022 № 45-01-04/1185
"Об утверждении правил землепользования и застройки Губарёвского сельского поселения Семилукского муниципального района Воронежской области"
(Зарегистрирован 12.12.2022 № 1971)
Номер опубликования: 3601202212130001
Дата опубликования: 13.12.2022
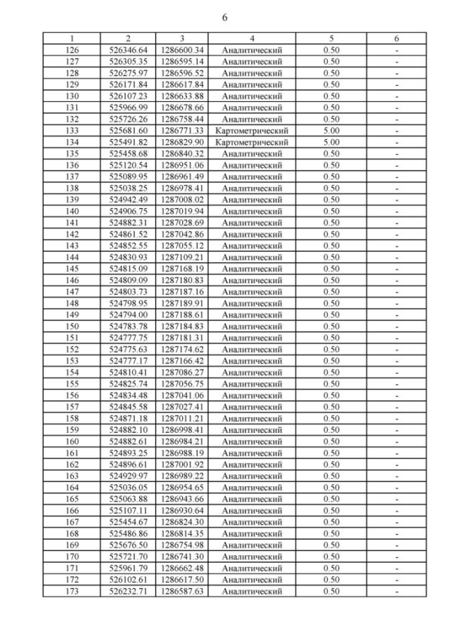
Страница №328 из 350:
Увеличить