Официальное опубликование правовых актов
ОФИЦИАЛЬНОЕ ОПУБЛИКОВАНИЕ
Приказ Департамента государственного регулирования тарифов Воронежской области от 15.11.2022 № 66/120
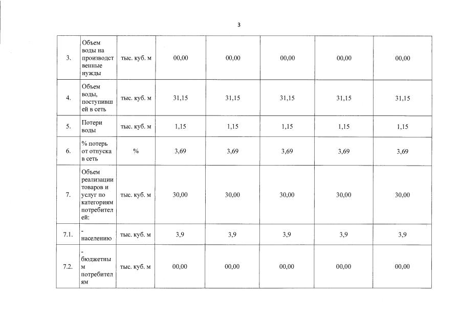
"О внесении изменений в приказ УРТ от 30.11.2018 № 47/32 "Об установлении долгосрочных параметров регулирования деятельности и тарифов на питьевую воду (питьевое водоснабжение) для бюджетного учреждения Воронежской области "Рамонский дом интернат для престарелых и инвалидов", осуществляющего холодное водоснабжение потребителей в границах Рамонского городского поселения Воронежской области, на период 2019-2023 годов"
(Зарегистрирован 18.11.2022 № 1518)
Номер опубликования: 3601202211220014
Дата опубликования: 22.11.2022
Страница №5 из 9:
Увеличить