Официальное опубликование правовых актов
ОФИЦИАЛЬНОЕ ОПУБЛИКОВАНИЕ
Приказ Департамента государственного регулирования тарифов Воронежской области от 15.11.2022 № 66/62
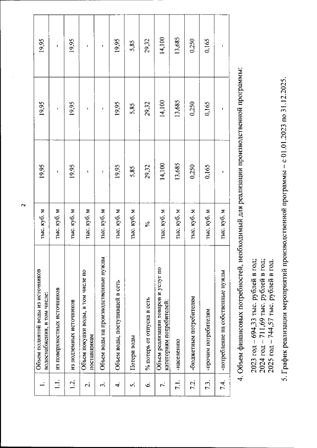
"Об установлении долгосрочных параметров регулирования деятельности и тарифов на питьевую воду (питьевое водоснабжение) для сельскохозяйственного обслуживающего потребительского кооператива "Пасековского сельского поселения", осуществляющего холодное водоснабжение потребителей в границах Пасековского сельского поселения Кантемировского муниципального района Воронежской области, на период 2023-2025 годов"
(Зарегистрирован 18.11.2022 № 1320)
Номер опубликования: 3601202211210299
Дата опубликования: 21.11.2022
Страница №4 из 7:
Увеличить