Официальное опубликование правовых актов
ОФИЦИАЛЬНОЕ ОПУБЛИКОВАНИЕ
Приказ Департамента архитектуры и градостроительства Воронежской области от 20.10.2022 № 45-01-04/1049
"О внесении изменений в правила землепользования и застройки Байчуровского сельского поселения Поворинского муниципального района Воронежской области"
(Зарегистрирован 31.10.2022 № 1135)
Номер опубликования: 3601202211030016
Дата опубликования: 03.11.2022
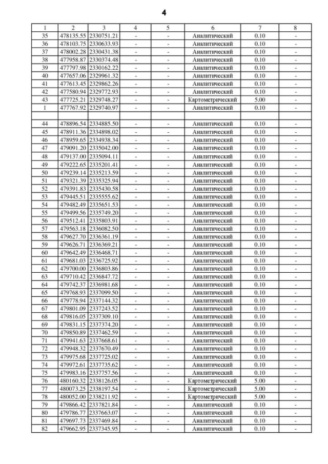
Страница №28 из 36:
Увеличить