Официальное опубликование правовых актов
ОФИЦИАЛЬНОЕ ОПУБЛИКОВАНИЕ
Приказ Департамента архитектуры и градостроительства Воронежской области от 27.10.2022 № 45-01-04/1069
"Об утверждении правил землепользования и застройки Ясенковского сельского поселения Бобровского муниципального района Воронежской области"
(Зарегистрирован 31.10.2022 № 1137)
Номер опубликования: 3601202211030003
Дата опубликования: 03.11.2022
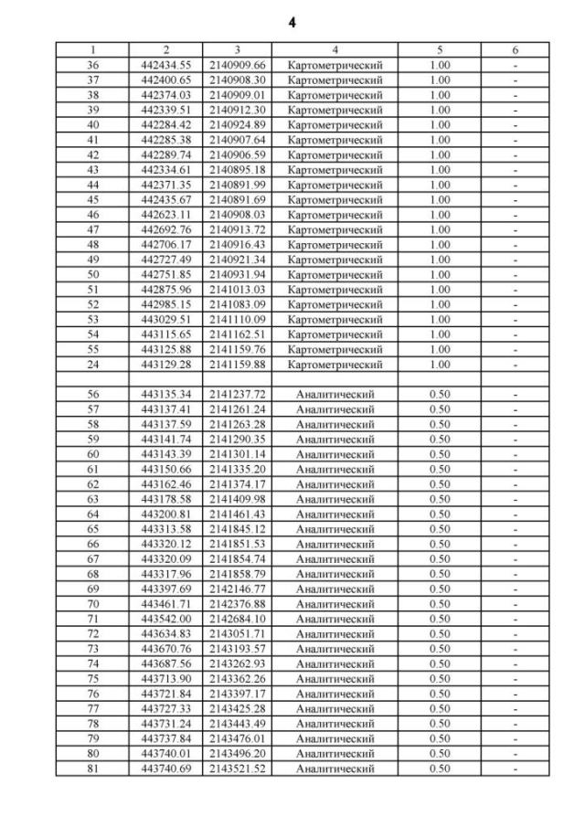
Страница №135 из 152:
Увеличить